Blåtunge er en virussykdom hos drøvtyggere og hjortedyr. Blåtungevirus oppformeres i og spres gjennom det blodsugende insektet sviknott og smitter ikke direkte mellom dyr. Smitteoverføring skjer derfor i sommersesongen når sviknotten er aktiv. Påvisningen er ikke uventet etter at det har vært blåtungeutbrudd i flere europeiske land og i den siste tiden også i Danmark.
I Norge er sykdommen blåtunge en liste 1-sykdom og mistanke skal derfor meldes fra til Mattilsynet umiddelbart.
Har innført områder med tiltak mot blåtunge
Mattilsynet har nå innført tiltak i en sone som inkluderer kommunene der smitten er påvist. Målet er å begrense spredning av sykdommen til andre deler av landet. Les om tiltaket på Mattilsynets nettsider.
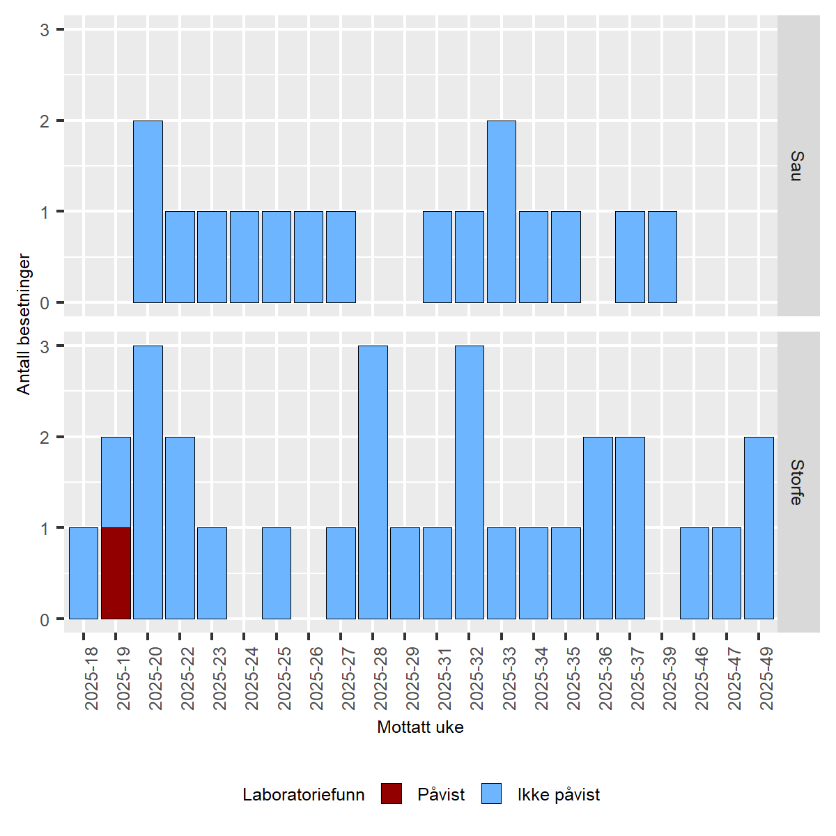
Resultater hos sau og storfe med mistanke om blåtunge:


Meld fra til Mattilsynet
Ved mistanke om, eller påvisning av, alvorlig smittsom dyresykdom slik som blåtunge skal det umiddelbart meldes til Mattilsynet på telefon 22 40 00 00. Har du kontaktet praktiserende veterinær, skal veterinæren melde fra til Mattilsynet.